Trang chủ
Giới thiệu
Giới thiệu công ty
Giới thiệu Khu công nghiệp PAT
Giới thiệu Khu công nghiệp TÂN KIM
Giấy Phép Môi Trường
Thân thiện môi trường
Đất công nghiệp
Danh Sách Các Nhà Đầu Tư Trong KCN
Video Giới Thiệu KCN Phú An Thạnh
Vị trí
Vị trí khu công nghiệp
Bản đồ tổng thể và phân lô
Lợi ích nhà đầu tư
Tiết kiệm chi phí
Giá thuê đất và các loại phí
Phát triển bền vững
Tiết kiệm thời gian
Hạ tầng - Tiện ích
Hệ thống cấp điện
Hệ thống cấp nước sạch
Hệ thống xử lý nước thải
Thu gom và xử lý CTNH
Trạm Quan Trắc Nước Thải
Hệ Thống Cây Xanh KCN
Hạ Tầng Kỹ Thuật KCN
Khu Liên Hợp Thể Dục Thể Thao
Bến Thủy Nội Địa Trong KCN
Chất Lượng Nước Thải Trạm Quang Trắc Tự Động
Chất Lượng Nước Thải
BC Đánh Giá Tác Động MT
Kết Quả Nước Cấp Sau Xử Lý
Giấy Phép Môi Trường
Kế Hoạch Phòng Ngừa Ứng Phó Sự Cố Môi Trường KCN Phú An Thạnh
Thư viện thông tin
Pháp luật kinh Doanh
Quy Chế Bảo Vệ Môi Trường 2025
Quyết Định Về Việc Ban Hành Quy Chế Môi Trường 2025
Thông tin PAT
Video
Hình ảnh hoạt động
Hỏi đáp
Tuyển dụng
Liên hệ
Hạ tầng - Tiện ích
Chất Lượng Nước Thải Trạm Quang Trắc Tự Động
Chất lượng nước thải trạm quan trắc tự động
Năm 2026
Tháng 04/2026
Tháng 03/2026
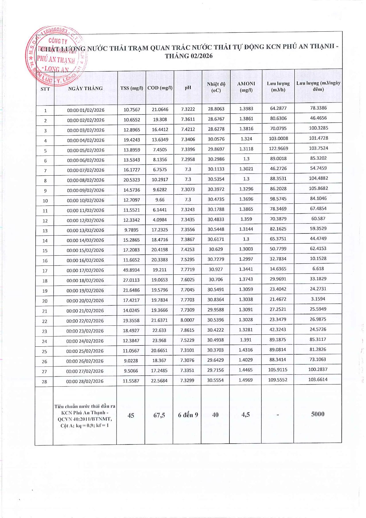
Tháng 02/2026
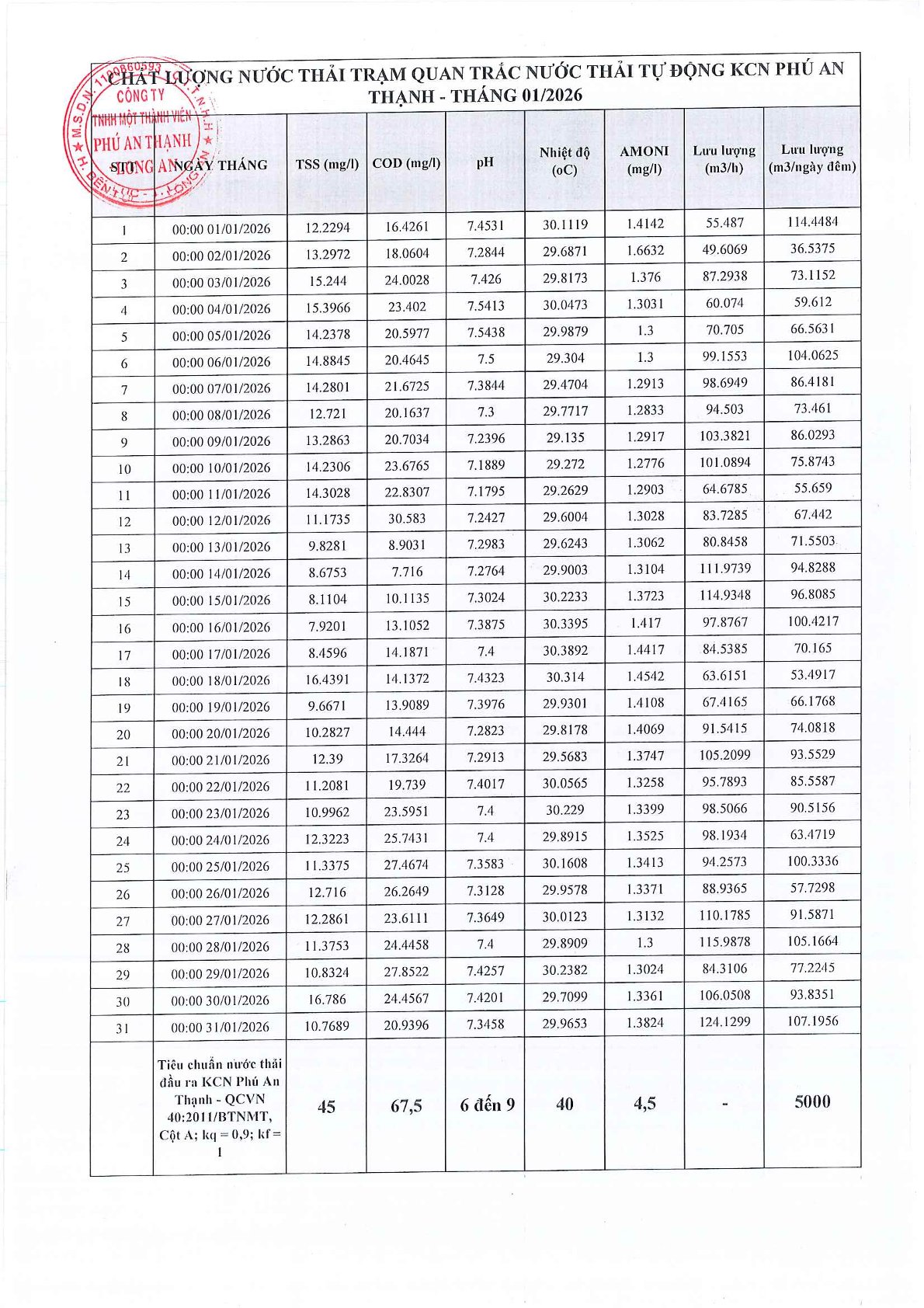
Tháng 01/2026
Chất lượng nước thải trạm quan trắc tự động
Năm 2025
Tháng 12/2025
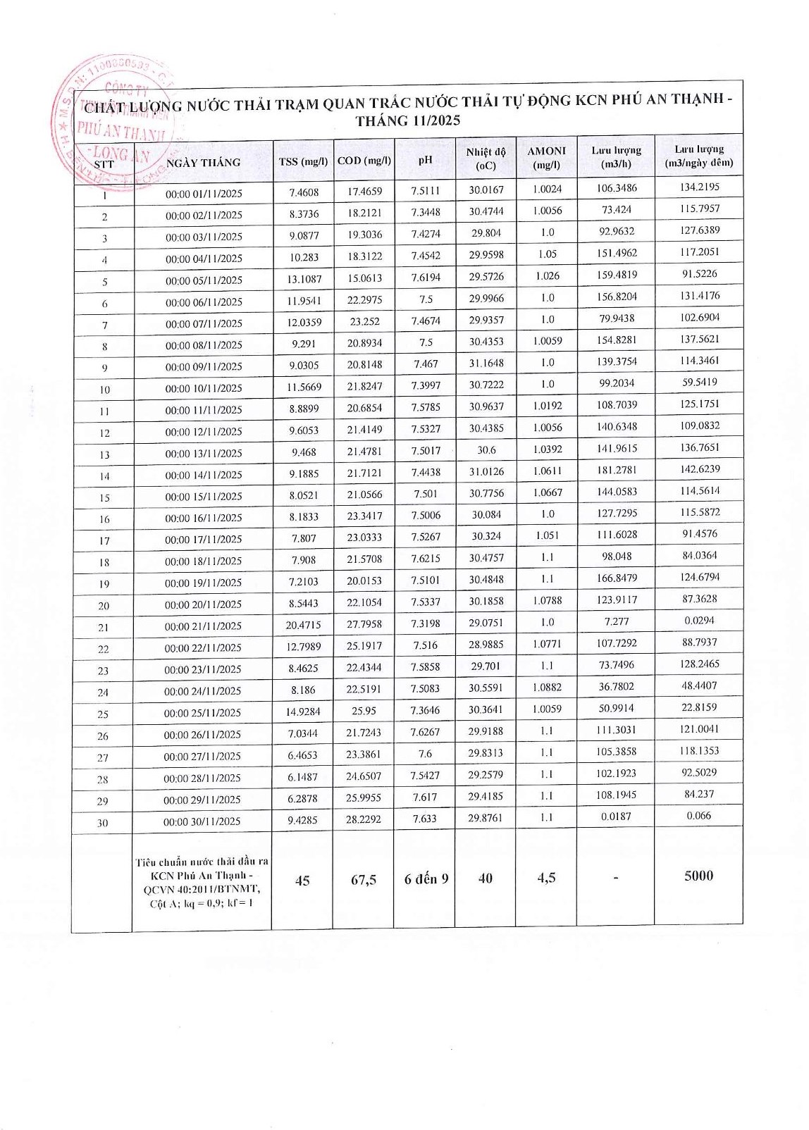
Tháng 11/2025
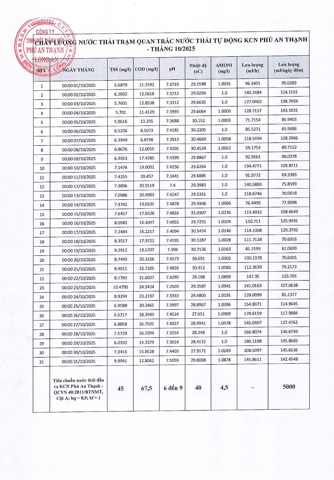
Tháng 10/2025
Tháng 09/2025
Tháng 08/2025
Tháng 07/2025
Tháng 06/2025
Tháng 05/2025
Tháng 04/2025
Tháng 03/2025
Tháng 02/2025
Tháng 01/2025
Chất lượng nước thải trạm quan trắc tự động năm 2024
Chất lượng nước thải trạm quan trắc tự động 6 tháng cuối năm 2023
Levitra Generic Availability
Lovegra Experiences
Lida Dai Dai Hua Opiniones
Dapoxetine 30 Mg Generic Priligy
Lovegra Preis
Lovegra Australia
Super Kamagra Side Effects
Cialis Generic 20mg
Propecia Generic Over The Counter
Propecia Generic Cost
Lovegra
Priligy Generic Dapoxetine
Levitra Original
Super Kamagra Tablets
Viagra Generico Senza Ricetta
Barato Viagra
Lovegra Review
Kamagra 100mg
Levitra Originale
Meizitang Soft Gel
Cialis Original VS Generika
Kamagra Tablets
Meizitang Soft Gel Reviews
Viagra Original
Cialis Original Purpose
Hệ thống cấp điện
Hệ thống cấp nước sạch
Hệ thống xử lý nước thải
Thu gom và xử lý CTNH
Trạm Quan Trắc Nước Thải
Hệ Thống Cây Xanh KCN
Hạ Tầng Kỹ Thuật KCN
Khu Liên Hợp Thể Dục Thể Thao
Bến Thủy Nội Địa Trong KCN
Chất Lượng Nước Thải Trạm Quang Trắc Tự Động
Chất Lượng Nước Thải
BC Đánh Giá Tác Động MT
Kết Quả Nước Cấp Sau Xử Lý
Giấy Phép Môi Trường
Kế Hoạch Phòng Ngừa Ứng Phó Sự Cố Môi Trường KCN Phú An Thạnh
Pháp luật kinh Doanh
Quyết Định Về Việc Ban Hành Quy Chế Môi Trường 2025
21/11/2025
Quy Chế Bảo Vệ Môi Trường _ KCN Phú An Thạnh
11/11/2025
Khoá học huấn luyện an toàn hóa chất, an toàn lao động
25/9/2025
LỄ TRAO GIẤY CHỨNG NHẬN QSDĐ CHO CÔNG TY TNHH STARRY GROUP VIỆT NAM
6/11/2024
LỄ KÝ KẾT HỢP ĐỒNG THUÊ ĐẤT GIỮA CÔNG TY TNHH MTV PHÚ AN THẠNH - LONG AN VÀ CÔNG TY TRÁCH NHIỆM HỮU HẠN MEGMILK BRAND VIỆT NAM
8/10/2024
Xem tất cả